收藏!沪上39家正规家电维修企业名单来啦
炎炎夏日
家里的空调、冰箱坏了本已糟心
如果再遇上“李鬼”维修就更是心累……
你是否也有过这样的经历:在网上搜索、信箱广告卡片上找到的所谓正规企业竟是“李鬼”维修,这些“黑家维”中更有甚者注册了正规商家已停用的“400”或“800”客服电话,混淆视听。
别急~~
市消保委近日公布了
上海39家正规家电维修企业名单
↓涉及的都是家中常见品牌↓
选择正规家电维修TIPS
1.尽量通过品牌官网或标注“维修热线安全认证”字样的企业,切勿轻信社区信箱广告卡片。
2.向各家电卖场的品牌专柜询问、核实正规家电维修企业信息。
3.维修前,注意核对上门服务人员身份信息,明确具体收费项目及服务标准;维修后,及时索取单据和正规发票。
(来源:上海市消保委)
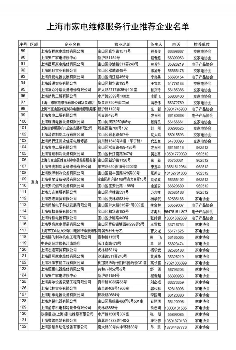
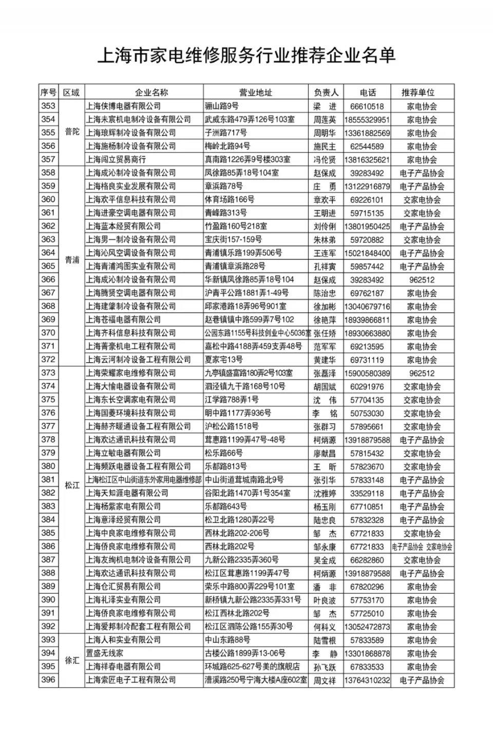
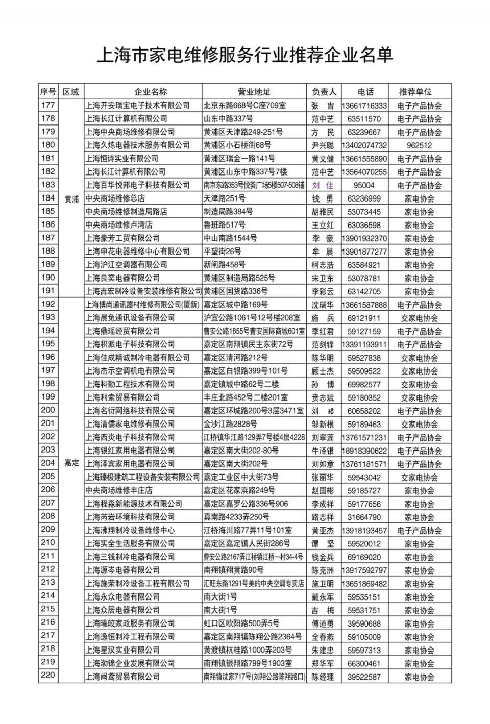
家电维修找哪家?沪上477家正规家电维修企业名单来了!
家用电器“罢工”,路边维修游击队不靠谱怎么办?
市商务委公布2020年品牌家电企业售后维修服务热线及授权维修服务网点名单,以及2020年行业协会推荐的477家正规维修企业名单,分布在本市各区,营业地址、联系电话等信息一应俱全。有需要的小伙伴可以收藏哦!
2020年品牌家电企业售后维修服务热线及授权维修服务网点名单
(以下图片均可点击看大图哦!)
2020年行业协会推荐家电维修企业名单
(以下图片均可点击看大图哦!)
相关问答
上海剃须刀维修点都有哪些?_住范儿家装官网
1、上海市鑫生剃须刀电话机维修服务社地址:上海市虹口区宝山路888弄12号406室2、上海市中央商场维修有限公司(徐汇店)地址:上海市大木桥路88号3...
上海中良家电维修有限公司怎么样?
上海中良家电维修有限公司成立于1999年11月12日,注册地位于上海市松江区西林北路202、204、206号,法人代表为顾达明。经营范围包括家用电器、五金交电、日用百...
上海厨房电器维修公司哪家好_家用电器
[回答]上海皖涵厨房设备维修有限公司该公司做得挺不错的,服务好一点。抽油烟机已成为现代家庭必不可少的厨房工具,不过,再好的工具...
上海哪里有维修电视机的地方?
[回答]上海万国五金电器批发市场地址:北京东路851上海鸿达五金电器机电设备综合批发部地址:真北路2653号新光彩商品建材批发市场10区26-27号上海电视...
上海收音机维修点都有哪些?-家居装修–手机房天下问答
[回答]上海收音机维修点都有上海意进家电维修中心巨鹿路189上海安豪家电维修中心景联路1111弄2号102室上海科慧家电制冷设备维修经营部...
上海大型油烟机维修公司哪家好?-设计本有问必答
大型油烟机清洗公司推荐康宝煤气灶抽油烟机维修中心,他们是专业修油烟机的,当然清洁油烟机也是很专业的,挺不错的,价格也不贵。地址:上海市杨浦区...
飞利浦扫地机上海维修网点查询?
上海飞利浦吸尘器售后维修点共有14个,介绍几个供参考选择:松江中良家用电器维修服务社维修地址:松江西林北路202号上海市予丰电器科技服务有限公司维修...
上海燃气热水器维修点哪里有?-设计本有问必答
上海能率燃气热水器维修公司地址:上海市虹桥路996号能率NORITZ燃气热水器售后维修服务中心地址:上海市长宁区中山西路800号上海能率NOR...
阿兵电器维修是在上海的吗?
答:在上海松江区新绿路658号。主要中标单位:上海市松江区新浜镇阿兵电器维修部中标金额:8.415万元奢资8.5万元,好的答:在上海松江区新绿路658号。主要中...
上海利民家电制冷维修部怎么样?
很好。上海利民家电制冷维修部以顾客至上,城实守信,服务热情,信誉至上,维修技术上乘,对待毎位客户都很认真,是值得信赖的企业。很好。上海利民家电制冷维修部...
